忘年会シーズンとなり、普段より多くビールを飲んでいる人も多いと思う。では、世界主要国では一体どのくらいビールが飲まれているのだろうか。
キリンホールディングスは、世界各国のビール協会などに対して独自に実施したアンケート調査と最新の海外資料に基づき、計170の世界主要国および各地域における「2024年のビール消費量」をまとめたので、結果を紹介しよう。
世界のビール総消費量は約1億9,412万kl(前年比0.5%増)!東京ドーム約157杯分に相当
国別ビール消費量(表1)
2024年の世界のビール総消費量は、前年より約89万kl(大びん633ml換算で約14億本)増え、約1億9,412万kl(前年比0.5%増、大びん633ml換算で約3,067億本)となった。東京ドーム約157杯分(東京ドーム1杯は約124万kl)に相当する。
国別では、中国(前年比3.7%減)が2003年から22年連続で1位となった。日本(前年比2.7%減)は、2020年まで14年間7位であったが、2021年8位、2022年10位と順位を落とし2024年は2023年と同様11位という結果に。
南アフリカ(前年比4.5%増)が2023年の10位から7位へと伸長している。インド(前年比14.6%増)が、上位国25位の中で最も大きく前年比を伸ばした。
地域別ビール消費量(表2)
地域別では、アジアの構成比が32.6%と、17年連続で1位に。1位のアジア(前年比1.4%減)は、インド(前年比14.6%増)が大きく増加したものの、中国(前年比3.7%減)、日本(前年比2.7%減)などの減少が影響し、前年を下回った。
2位のヨーロッパ(前年比1.4%増)は、ドイツ(前年比2.2%減)、スペイン(前年比1.3%減)などは減少したものの、ロシア(前年比9.0%増)、イギリス(前年比1.7%増)などが増加となり、前年を上回っている。
3位の中南米(前年比1.6%増)は、ブラジル(前年比1.1%増)、メキシコ(前年比5.4%増)などが増加し、前年を上回った。
4位の北米(前年比0.5%減)は、アメリカ(前年比0.5%減)が減少し、前年を下回っている。
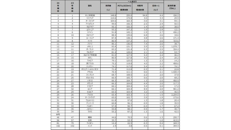
国別一人当たりビール消費量(表3)
チェコ共和国が148.8Lで、1993年から32年連続で1位となった。1位チェコ、2位リトアニア、3位オーストリア、4位アイルランド、5位クロアチアの上位5ヶ国は、昨年から順位変動がない。
昨年8位のドイツは10位へと順位を落とし、スロベニアが前年10位から8位へと順位を上げた。
日本は33.7Lで56位となり、大びん633ml換算で約53.3本(前年-1.2本)と前年減となった。
出典:各国ビール協会などへのアンケート調査 (キリンが実施したもの)
・BarthHaas-Report-2024-2025 (BARTH−HAAS GROUP)
・Beer Market Data Extract 2025 (GlobalData Plc)
※調査期間:2024年1~12月
※2013年度以降、調査データ会社を変更したため、過去レポートと数値が合致しないことがある
※2020年以降の日本の消費量は株式会社醸造産業新聞社の推計による
※日本の消費量については、ビール、発泡酒、発泡酒(2)の合計
注:
・四捨五入のため、数値が必ずしも一致しない場合がある
・前年実績が今年の調査で変更になった国については、変更した数値で前年比を算出している
※前年の世界総消費量も最新の値に変更している(約1億8,793万kl⇒ 1億9,323万klへ変更
関連情報
https://www.kirinholdings.com/
構成/Ara







DIME MAGAZINE
















